CHEMISTRY
Paper 4 (P4): The Particulate Nature Of Matter Topic Quiz 2
Question 1:
A teacher placed a few drops of liquid bromine in the bottom of a test-tube containing a solvent.
After 10 minutes, the brown colour of the bromine had spread a little way through the solvent.
After 2 hours, the brown colour had spread throughout the solvent.

Use the kinetic particle theory to explain these observations.
[Total: 3]
A teacher placed a few drops of liquid bromine in the bottom of a test-tube containing a solvent.
After 10 minutes, the brown colour of the bromine had spread a little way through the solvent.
After 2 hours, the brown colour had spread throughout the solvent.

Use the kinetic particle theory to explain these observations.
[Total: 3]
Question 2:
The diagram shows the arrangement of carbon dioxide molecules at -25°C and 100 atmospheres pressure.
(The diagram represents a molecule of carbon dioxide.)
What is the state of carbon dioxide under these conditions?
Use the kinetic particle theory and the information in the diagram to explain your answer.
[Total: 3]
The diagram shows the arrangement of carbon dioxide molecules at -25°C and 100 atmospheres pressure.
(The diagram represents a molecule of carbon dioxide.)
What is the state of carbon dioxide under these conditions?
Use the kinetic particle theory and the information in the diagram to explain your answer.
[Total: 3]
Question 3:
A crystal of sulfur melts when heated.
Explain, using the kinetic particle theory, the differences between the arrangement and motion of the particles in sulfur crystals and liquid sulfur.
[Total: 4]
A crystal of sulfur melts when heated.
Explain, using the kinetic particle theory, the differences between the arrangement and motion of the particles in sulfur crystals and liquid sulfur.
[Total: 4]
Question 4:
Mercury is a liquid at room temperature. When heated, it changes to mercury vapour.
Explain, using the kinetic particle theory, the differences in the arrangement and motion of the particles in liquid mercury and mercury vapour.
[Total: 4]
Mercury is a liquid at room temperature. When heated, it changes to mercury vapour.
Explain, using the kinetic particle theory, the differences in the arrangement and motion of the particles in liquid mercury and mercury vapour.
[Total: 4]
Question 5:
A student left a cube of ice on a plate in a warm room. The diagrams below show what happened to the ice.
at the start, after 10 minutes, after 30 minutes

Describe and explain what happened to the ice. In your answer:
[Total: 5]
A student left a cube of ice on a plate in a warm room. The diagrams below show what happened to the ice.
at the start, after 10 minutes, after 30 minutes

Describe and explain what happened to the ice. In your answer:
- Describe and explain the change of state which occurs,
- Explain this change using the kinetic particle theory.
[Total: 5]
Question 6:
When sulfur vapour touches a cold surface it changes directly to a solid.
What is the name given to this change of state?
[Total: 1]
When sulfur vapour touches a cold surface it changes directly to a solid.
What is the name given to this change of state?
[Total: 1]
Question 7:
A closed gas syringe contains substance R. The syringe is heated in a water bath.


Describe what happens to the volume of substance R in the syringe. The pressure remains constant.
Explain your answer in terms of particles.
[Total: 2]
A closed gas syringe contains substance R. The syringe is heated in a water bath.


Describe what happens to the volume of substance R in the syringe. The pressure remains constant.
Explain your answer in terms of particles.
[Total: 2]
Question 8:
A closed gas syringe contains substance Z.

Describe what happens to the volume of substance Z in the syringe when the temperature is increased. The pressure remains constant.
Explain your answer in terms of particles.
[Total: 2]
A closed gas syringe contains substance Z.

Describe what happens to the volume of substance Z in the syringe when the temperature is increased. The pressure remains constant.
Explain your answer in terms of particles.
[Total: 2]
Question 9:
Blue ink was placed at the bottom of a beaker containing water.
After 2 days, a blue colour had spread throughout the beaker.

Explain these observations using the kinetic particle model.
[Total: 3]
Blue ink was placed at the bottom of a beaker containing water.
After 2 days, a blue colour had spread throughout the beaker.

Explain these observations using the kinetic particle model.
[Total: 3]
Question 10:
Substances can change state.
(a) Boiling and evaporation are two ways in which a liquid changes into a gas.
Describe two differences between boiling and evaporation.
(b) Name the change of state when:
A gas becomes a liquid.
A solid becomes a gas.
[Total: 4]
Substances can change state.
(a) Boiling and evaporation are two ways in which a liquid changes into a gas.
Describe two differences between boiling and evaporation.
(b) Name the change of state when:
A gas becomes a liquid.
A solid becomes a gas.
[Total: 4]
Question 11:
A substance boils at temperature X and melts at temperature Y.
Complete the graph to show the change in temperature over time as the substance cools from temperature A to temperature B.

[Total: 2]
A substance boils at temperature X and melts at temperature Y.
Complete the graph to show the change in temperature over time as the substance cools from temperature A to temperature B.

[Total: 2]
Question 12:
Sulfur dichloride, SCl2, is a red liquid which vaporises easily at room temperature and pressure.
A drop of sulfur dichloride was placed in the corner of a glass box.
The glass box was closed and left for 12 hours.
After 12 hours a red vapour had spread to fill the whole box.
glass box
drop of sulfur dichloride
at the start after 1 hour after 12 hours
Explain these observations using the kinetic particle model.

[Total: 3]
Sulfur dichloride, SCl2, is a red liquid which vaporises easily at room temperature and pressure.
A drop of sulfur dichloride was placed in the corner of a glass box.
The glass box was closed and left for 12 hours.
After 12 hours a red vapour had spread to fill the whole box.
glass box
drop of sulfur dichloride
at the start after 1 hour after 12 hours
Explain these observations using the kinetic particle model.

[Total: 3]
Question 13:
This question is about states of matter.
Complete the table, using ticks (✓) and crosses (✗), to describe the properties of gases, liquids and solids.
[3]
[Total: 3]
This question is about states of matter.
Complete the table, using ticks (✓) and crosses (✗), to describe the properties of gases, liquids and solids.
| State of Matter | Particles are touching | Particles have random movement | Particles are regularly arranged |
|---|---|---|---|
| Gas | |||
| Liquid | |||
| Solid |
[3]
[Total: 3]
Question 14:
Bromine is a red-brown liquid which is soluble in cyclohexane.
A few drops of liquid bromine were placed at the bottom of a beaker containing cyclohexane. After 3 days, a red-brown colour had spread throughout the beaker.
at the start after 6 hours after 3 days
Explain these observations using the kinetic particle model.

[Total: 3]
Bromine is a red-brown liquid which is soluble in cyclohexane.
A few drops of liquid bromine were placed at the bottom of a beaker containing cyclohexane. After 3 days, a red-brown colour had spread throughout the beaker.
at the start after 6 hours after 3 days
Explain these observations using the kinetic particle model.

[Total: 3]
Question 15:
Ammonia reacts with chlorine.
(a) Complete the equation for this reaction.
a NH3 + ____ Cl2 → N2 + 6 HCl
[2]
(b) A small beaker of aqueous ammonia is placed at the front of a classroom.
At first, the students at the back of the class do not smell the ammonia gas.
After a short time, the students at the back of the class smell the ammonia.
Explain these observations using the kinetic particle model.
[3]
[Total: 5]
Ammonia reacts with chlorine.
(a) Complete the equation for this reaction.
a NH3 + ____ Cl2 → N2 + 6 HCl
[2]
(b) A small beaker of aqueous ammonia is placed at the front of a classroom.
At first, the students at the back of the class do not smell the ammonia gas.
After a short time, the students at the back of the class smell the ammonia.
Explain these observations using the kinetic particle model.
[3]
[Total: 5]
Question 16:
Zinc is manufactured from zinc blende. Zinc blende is an ore which consists mainly of zinc sulfide, ZnS.
(a) Zinc blende is roasted in air. One of the products is zinc oxide.
Name the other product formed in this reaction.
(b) Zinc oxide is then converted into zinc.
Zinc oxide and coke, a source of carbon, are heated in a furnace. Hot air is blown into the furnace.
(i) Give two reasons why coke is needed.
(iii) Zinc has a melting point of 420°C and a boiling point of 907°C. The temperature inside the furnace is 1200°C.
Explain how this information shows that the zinc produced inside the furnace is a gas.
(iv) The gaseous zinc is converted to molten zinc.
Name this change of state.
[Total: 6]
Zinc is manufactured from zinc blende. Zinc blende is an ore which consists mainly of zinc sulfide, ZnS.
(a) Zinc blende is roasted in air. One of the products is zinc oxide.
Name the other product formed in this reaction.
(b) Zinc oxide is then converted into zinc.
Zinc oxide and coke, a source of carbon, are heated in a furnace. Hot air is blown into the furnace.
(i) Give two reasons why coke is needed.
(iii) Zinc has a melting point of 420°C and a boiling point of 907°C. The temperature inside the furnace is 1200°C.
Explain how this information shows that the zinc produced inside the furnace is a gas.
(iv) The gaseous zinc is converted to molten zinc.
Name this change of state.
[Total: 6]
Question 17:
Zinc is extracted from zinc blende.
When zinc is extracted, it is formed as a gas.
The gaseous zinc is then converted into molten zinc.
State the name of this physical change.
[Total: 1]
Zinc is extracted from zinc blende.
When zinc is extracted, it is formed as a gas.
The gaseous zinc is then converted into molten zinc.
State the name of this physical change.
[Total: 1]
Question 18:
Graphite is a solid.
Describe the arrangement and motion of the particles in a solid.
[Total: 2]
Graphite is a solid.
Describe the arrangement and motion of the particles in a solid.
[Total: 2]
Question 19:
Hydrogen chloride is an acidic gas produced when concentrated hydrochloric acid evaporates.
(a) Describe the arrangement and separation of the molecules in hydrogen chloride gas.
[2]
(b) A long glass tube is set up as shown.

glass tube
cotton wool soaked in damp blue litmus paper
concentrated hydrochloric acid
At first, the blue litmus paper does not turn red.
After a short time, the litmus paper turns red.
Explain these observations using the kinetic particle model.
[3]
[Total: 5]
Hydrogen chloride is an acidic gas produced when concentrated hydrochloric acid evaporates.
(a) Describe the arrangement and separation of the molecules in hydrogen chloride gas.
[2]
(b) A long glass tube is set up as shown.

glass tube
cotton wool soaked in damp blue litmus paper
concentrated hydrochloric acid
At first, the blue litmus paper does not turn red.
After a short time, the litmus paper turns red.
Explain these observations using the kinetic particle model.
[3]
[Total: 5]
Question 20:
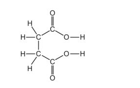
The structure of succinic acid is shown.

H I
H—C~ ~O—H
H—C~ ~O—H
(a) (i) On the structure, draw a circle around one carboxylic acid functional group.
[1]
(ii) Deduce the formula of succinic acid to show the number of carbon, hydrogen, and oxygen atoms.
[1]
(b) When succinic acid is heated, it undergoes sublimation.
State the meaning of the term sublimation.
[1]
(c) Succinic acid is heated with compound F.
Compound F has the formula HOCHâ‚‚CHâ‚‚OH.
(i) State the name of the -OH functional group in compound F.
[1]
(ii) A polymer is formed when succinic acid is heated with compound F.
Choose one word from the list that best describes the small molecules that react together to form a polymer.
Draw a circle around the correct answer.
[1]
[Total: 5]
The structure of succinic acid is shown.

H I
H—C~ ~O—H
H—C~ ~O—H
(a) (i) On the structure, draw a circle around one carboxylic acid functional group.
[1]
(ii) Deduce the formula of succinic acid to show the number of carbon, hydrogen, and oxygen atoms.
[1]
(b) When succinic acid is heated, it undergoes sublimation.
State the meaning of the term sublimation.
[1]
(c) Succinic acid is heated with compound F.
Compound F has the formula HOCHâ‚‚CHâ‚‚OH.
(i) State the name of the -OH functional group in compound F.
[1]
(ii) A polymer is formed when succinic acid is heated with compound F.
Choose one word from the list that best describes the small molecules that react together to form a polymer.
Draw a circle around the correct answer.
[1]
[Total: 5]
Solution
Solution
