0%

SL - Fields

25 MCQ from 2025 Question Bank Fields (all topics)

DP IB SL Physics Quiz

1 / 25

1. Satellites  and  orbit the same planet of mass . Satellite  has a mass of  and it is located at a height of  from the surface of the planet. Satellite  has a mass of  and it is located at a height of 2 from the surface of the planet.

What is the ratio of the centripetal force acting on  to the centripetal force acting on ?

2 / 25

2. A satellite of mass m is in an orbit at a height  from the surface of a planet of mass . The centripetal force acting on the satellite is  and the linear speed is .

What is the new centripetal force and linear orbital speed when it is moved to a new orbit at  from the surface of the planet?

 Centripetal force  Linear speed
A. F/4 Less than v
B. Between F and F/4 Less than 
C. Between F and F/4 More than 
D. F/4 More than 

3 / 25

3.

PH0117

An alpha particle of mass m and charge , is accelerated through a potential difference  into a magnetic field of flux density  that is at right angles to the direction of motion. Which of the sketches below best describes the relationship between the radius of path  and the potential difference of the accelerating field?

3.
A. B.
PH0117A PH0117B
C. D.
PH0117C PH0117D

4 / 25

4. A point charge is moved between two parallel plates separated by a distance of . The potential difference between the points is .

What is the average electric field E?

5 / 25

5. A wire is carrying a current I is placed in a region of uniform magnetic field . The magnitude of the magnetic field is , and its direction is into the page. The force acting on the wire is , as shown in the diagram.

PH0051A

The wire, carrying the same current I, is now placed with the orientation shown into another region of uniform magnetic field B. The magnitude of the magnetic field is , and its direction is out of the page.

PH0051-2

What is the correct direction and magnitude of the force acting on the wire in field ?

Direction Magnitude
A. PH0051CA
B. PH0051CB
C. PH0051CC
D. PH0051CD

6 / 25

6. A proton and another object with charge +e exert electrical and gravitational forces on one another. To the nearest order of magnitude, what mass must the object have to be so that the net force acting on it is zero?

PH0595A

7 / 25

7. The centers of three masses lie on the same line. The centers of the masses are separated as shown.

PH0359-1

The net gravitational force on m is zero when the value of d is one third of . What is the ratio m1/m3?

8 / 25

8. A beam of electrons enters a uniform electric field, as shown.

PH0596a

What effect does this field have on the horizontal and vertical components of the electrons' velocity?

Horizontal velocity Vertical velocity
A. Increases Stays the same
B. Decreases Stays the same
C. Stays the same Increase
D. Stays the same Decrease

9 / 25

9. Which of the following graphs shows the variation of the gravitational field strength of a planet with distance  from the surface of a planet?

A. B.
PH0679aa PH0679bb
C. D.
PH0679cc PH0679dd

10 / 25

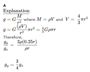
10. Planet  has radius  and density . The gravitational field strength at the surface of Planet  is .

What is the ratio of the gravitational field strength at the surface of planet Y, which has radius 0.25 and density 3, to that at the surface of Planet X?

11 / 25

11. A charge of  and a charge of  are held at a fixed distance.

PH0227

A point where the electric field is zero can only be found in region 1. Which of the following statements is true about the charge on ?

12 / 25

12. A conductor carrying electric current out of the plane of the paper is placed between two magnets as shown in the diagram.

At which location is the magnitude of the resultant magnetic field strength largest due to the conductor and the magnets?

PH0290

13 / 25

13. A positive and a negative charge of equal magnitude are located on the same horizontal line.

PH0594_q

What is the direction of the net electric field at the point marked X, equidistant from the two charges?

14 / 25

14. A source of radiation is near a magnetic field that is directed into the page. A sheet of paper is placed in the path of the radiation before it enters the magnetic field.

PH0357

The gamma radiation is not deflected when entering the magnetic field. Which of the following is correct about the other type of radiation that penetrates the paper sheet and the direction of its deflected path in the magnetic field?

 

 

Type of radiation Direction of deflected path
A. α Upwards
B. α Downwards
C. β^− Upwards
D. β^− Downwards

15 / 25

15. A charged particle is moving horizontally when it enters an electric field between two parallel plates. The path followed by the particle when it passes through the plates is shown. Assume gravitational effects to be negligible.

PH0455

Which statements are correct about the charged particle?

  • I. The particle is positively charged.
  • II. A magnetic field in a direction into the page could cause the charged particles to move horizontally without deflection.
  • III. A magnetic field in a direction out of the page could cause the charged particles to move horizontally without deflection.

16 / 25

16. Two positive charges of magnitude  and  respectively are placed 9cm apart. A third charge is introduced between the two charges as shown below;

PH0108-1aa

At what separation, X, from the 2C charge is the electric field strength equal to zero?

17 / 25

17. A satellite  is in a circular orbit of radius  with a period  around Earth.

What will be the orbital radius of satellite Y, travelling in a circular orbit with a period of 8 around Earth?

18 / 25

18. Two objects A and B are separated by a distance . The mass of A is much larger than that of B.

Which of the following is correct about magnitude and direction of the gravitational force exerted by A on B compared to that exerted by B on A?

Magnitude Direction
A. Same Same
B. Same Opposite
C. Bigger Same
D. Bigger Opposite

19 / 25

19. A hydrogen nucleus is held stationary in a uniform vertical electric field, represented by the arrows. Which of the paths shown would require the largest work to be done on the hydrogen nucleus?

PH0372

20 / 25

20. Two positive charges  and  are separated by a distance . A third positive charge  is placed at a distance d/4 from  so that the charge  is in equilibrium.

PH0417

What is the ratio q1/q2?

21 / 25

21. Planet  has a gravitational field strength g at its surface. Planet  has twice the density and twice the radius of planet .

What is the gravitational field strength at the surface of ?

22 / 25

22. Two point charges are separated by a distance  as shown.

PH0673

23 / 25

23. A satellite is in a circular orbit of radius  around a planet of mass . Which of the following graphs represents the relationship between the centripetal acceleration of the satellite and its orbital radius?

A. B.
PH0443_A PH0443_B
C. D.
PH0443_C PH0443_D

24 / 25

24. Two charges, separated by a large distance, are shown below, along with the electric field lines around each charge.

PH0597a

Which of the following statements is correct?

  • I.  The charge  is positive.
  • II.  The charge  is equal in magnitude to .
  • III.  The electric field magnitude near the charge q is greater than the magnitude of the field near the charge .

25 / 25

25. An astronaut in a space station orbiting the earth experiences weightlessness.

The following are three statements about the astronaut and the space station:

  • I.  The astronaut experiences no gravitational force.
  • II.  The centripetal acceleration of the space station is equivalent to the gravitational field strength at that location
  • III.  Both the astronaut and the space station have the same acceleration.

Which of these statements is correct?

Your score is

0%