0%

SL - Tools & Inquiries

25 MCQ from 2025 Question Bank Tools & Inquiries (all topics)

DP IB SL Chemistry Quiz

 

1 / 25

1. What is the value for the gradient of the graph below with the correct units?

11.2-CH0354

 

  • Gradient Units
    A. [303−183]/[25−13] dm^3K^−1
    B. [25−13]/[303−183] dm^3K^−1
    C. [183−303]/[25−13] dm^3K
    D. [13−25]/[303−183] dm^3K

2 / 25

2. of an aqueous solution of with  1.0 is mixed with 990 cm³ of water. The  of the formed solution is:

3 / 25

3. The diameter of a cylindrical sample was measured using a vernier caliper at three different points along the sample. The diameters measured were: 13.50 mm, 13.51 mm, 13.50 mm. The true diameter of the sample is 12.14 mm. What is the likely type of error, and how can the error be reduced?

4 / 25

4. Which of the below gives the correct units for the gradient of this line?

11.2-CH0357

5 / 25

5. A student conducted a titration experiment. However, instead of rinsing his apparatus with distilled water, he rinses them with tap water only. What is likely the type of error?

6 / 25

6. A thermometer was used to record the temperature of pure boiling water at sea level three times and the values were: 85.6C, 85.7C, 85.5C. What can be said about the accuracy and precision of these values?

7 / 25

7. Which statement best describes the relationship between  and  on the graph below?

CH0352

8 / 25

8. For the graph below, state the appropriate units for the -intercept.

11.2-CH0358

9 / 25

9. Which of the below features must be included in a sketched graph?

I. Labelled axes
II. Scaled axes
III. Plotted points

10 / 25

10. A student recorded the volume of a gas as 0.04056m^. How many significant figures does the recorded value have?

11 / 25

11. A voltmeter reading is recorded as 100.0 V +/- 2%. Which of the following could be the actual value?

I.98.0V
II.97.2V
III.101.3V

 

12 / 25

12. Which of the following is correct?

13 / 25

13. The length of a thread was being measured using a 50 cm wooden ruler with a 1 mm increment. The reading for the beginning of the thread was 12.6 cm while the reading for the end of the thread was 45.3 cm. Which of the following is the largest possible length of the thread?

14 / 25

14. Which of the below gives the correct average titre with its uncertainty?

Initial volume ±± 0.05 cm3   0.00   23.15   0.00
Final volume ±± 0.05 cm3 23.15   46.25   23.20

15 / 25

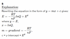
15. The potential of a cell under non-standard conditions can be calculated using the Nernst equation:

E=Eθ−[RT/nF]lnQ

For the graph below, which components of the equation represent the gradient and the y-intercept?

CH0809

  • Gradient y-intercept
    A. RT/nF
    B. −RT/nF
    C. −RT/nF
    D. −Eθ RT/nF

16 / 25

16. The relationship between energy, E, and wavelength, , is shown according to the equation below.

E=

CH0805

Which of the below statements are correct for the graph below representing ?

17 / 25

17. A piece of sodium metal has a mass of 13.02g and a volume of 13.4 cm^3. What is the most precise density that can be reported?

18 / 25

18. The half-life of a second order reaction can be expressed according to the equation below.

t1/2=1/k[A]0

Where t1/2​ = half-life, [Ao] = initial concentration of reactant A, and k is a constant.
Which two variables plotted against each other would produce a straight line?

I. t1/2 vs 1/k
II. t1/2​ vs [A]o​
III. t1/2​ vs 1/[A]o

19 / 25

19. The initial mass of a mortar containing a solid was recorded to be 109.34g. The mortar was heated, and the final mass was recorded to be 81.92g. What value should be recorded for the mass lost in grams?

20 / 25

20. Determine the type of variable and correct axis for  in a graph to show how  is affected by the length of the carbon chain.

  • Type of Variable Axis
    A. Independent x
    B. Independent y
    C. Dependent x
    D. Dependent y

21 / 25

21. In a first order reaction, the concentration [A] of a given reactant can be determined at time , according to the equation below, where [A]o is the initial concentration of  and  is the rate constant.

ln[A]=−kt+ln[A]o

11.2CH0355

For the graph above of ln[A] vs , which feature is equal to ln[A]o?

22 / 25

22. Which statement best describes the relationship between the rate and H+ concentration, in a graph with the equation: rate =k[H+]2?

23 / 25

23. 2.00 ± 0.02 g NaClO3 were dissolved in 2.0  0.5 dm^3 distilled water.

Which row gives the correct concentration in g dm−3 and relative uncertainty?

Concentration (g dm^−3) Relative uncertainty
A. 1.00  0.25
B. 1.0  0.3
C. 1.00  0.3
D. 1.0  0.25

24 / 25

24. A student recorded the mass of solid NaCl as 1200g. Which of the following is correct about the number of significant figures recorded?

25 / 25

25. 25.00 cm^3 of 0.100 mol dm^−3 HNO3 was titrated against 0.200 mol dm^−3 NaOH. The volumes of NaOH delivered for the three trials 14.00 cm^3, 14.05 cm^3 and 14.00.

Which statement below best describes these results?

Your score is

0%