0%

HL - Wave Behaviour

25 MCQ from 2025 Question Bank Wave Behaviour (all topics)

DP IB HL Physics Quiz

1 / 25

1. The diagram shows a beam of light passing from medium  to medium .

PH0451

If the angle of incidence of the light increases, which of the following changes can be implemented to keep the angle of refraction the same?

I. Medium X can be replaced with another medium which has a lower refractive index.
II. Medium X can be replaced with another medium which has a higher refractive index.
III. Medium Y can be replaced with another medium which has a higher refractive index.

2 / 25

2. For an object undergoing simple harmonic oscillation, the graphs show the variation of two quantities for the object with time .

PH0351

Which two quantities could be represented by these graphs?

 Graph I  Graph II
 A. Kinetic energy Potential energy
 B. Velocity Acceleration
 C. Acceleration Displacement
 D. Velocity Displacement

3 / 25

3. A monochromatic beam of light is incident on a double slit arrangement where the slit separation is 9.0×10^−5 m and the slit-screen distance is . The graph below shows the relative intensity of the light reaching the screen with respect to the distance from the central point of the pattern.

PH0122 [Source: Created with GeoGebra - https://www.geogebra.org/graphing?lang=en]

What is the wavelength of the light?

4 / 25

4. The graph shows the variation with time  of the displacement  of an object suspended by a spring. At what time is the acceleration in the negative direction at a maximum??

PH0099aaaaa

5 / 25

5. A simple pendulum undergoes simple harmonic motion. The graph shows the variation of a quantity  with horizontal displacement x from the equilibrium position.

PH0173

Which of the following quantities could be represented by quantity y?

I. The velocity of the pendulum
II. The kinetic energy of the pendulum
III. The potential energy of the pendulum

6 / 25

6. A string fixed at both ends oscillates in a standing wave as shown with a wavelength of .

PH0399

What is the length of the string?

7 / 25

7. A mass-spring system executes simple harmonic motion with a period  in a vertical plane. What is the period when the oscillating mass is doubled and the system is brought to a planet where the gravitational field strength at the surface is halved?

8 / 25

8. Incident light of wavelength  is emitted towards two slits separated by . The interference pattern is observed on a wall. The distance between two adjacent maxima is . What is the distance of the wall from the slits?

9 / 25

9.

A particle performs simple harmonic motion with a frequency of . The distance traveled by the particle in one complete oscillation is . Which of the following graphs shows a correct variation of its position?

A. B.
PH0294A PH0294B
C. D.
PH0294C PH0294D

10 / 25

10. A geostationary satellite is used for TV broadcasting. It orbits so that its position remains fixed above a receiver on earth. It undergoes circular motion with a speed of  and the emitted frequency for a channel is . Which of the following is correct?

11 / 25

11. In a single slit diffraction experiment, incident light passes through an aperture and a diffraction pattern is observed on a distant screen.  is a point on the screen between the second-order minimum and the first-order minimum.  is a point at the centre of the principal maximum.

PH0177

Which one of the following could be the ratio of the intensity of light on X to the intensity of light on ?

12 / 25

12. A laser beam passes through a narrow slit and incident on a screen. A diffraction pattern is observed on the screen. The variation of intensity I of light on the screen with distance x is seen in the graph below.

PH0176

Which of the following graphs best represents intensity distribution with distance when the slit is replaced by one of greater width? The original distribution is shown with a dashed line.

A. B.
PH0176a1 PH0176b1
C. D.
PH0176c1 PH0176d1

13 / 25

13. Monochromatic light falls on a diffraction grating and a diffraction pattern is formed on a screen. A wider beam of light is used so that more slits of the same diffraction grating produce the interference pattern. Which one of the following is correct in terms of intensity and width of primary maxima?

Intensity of primary maxima Width of primary maxima
A. increases increases
B. increases decreases
C. decreases increases
D. decreases decreases

14 / 25

14. For a wave traveling in a medium, the variation of the particles' displacement with distance travelled is shown in the following graphs, which represent the wave at different moments in time of a wave travelling to the right.

Graph I shows the wave at , while graph II is at t=1s.

The time difference between the two graphs is less than the wave's period.

Graph I

PH0373

Graph II

PH0373-1

What is the wave speed?

15 / 25

15. A particle undergoes simple harmonic motion. Which of the following can be an expression of acceleration  in terms of displacement  and a constant value ?

16 / 25

16. Water drips onto a pond every 3.0 seconds. The speed of water waves in the pond has been measured to be . What is the wavelength of water waves generated because of the drops?

17 / 25

17. Three monochromatic light sources, , and , are incident on a single slit separately. The diagram shows obtained diffraction patterns on the screens for each light source along with the relative widths of their central maxima.

PH0063

In which option are the possible colors of the light sources given correctly?

K L N
A. red green  violet
B. green violet red
C. violet red green
D. violet green red

18 / 25

18. Two identical objects  and  are connected to identical springs. Both  and  are performing simple harmonic motion (SHM) around equilibrium level .

PH0044

The diagram shows positions of P and Q at time t=0. Which graph shows how kinetic energy of P and Q vary with time t?

 

 

A. B.
PH0044A PH0044B
C. D.
PH0044C PH0044D

19 / 25

19. The bob on a conical pendulum is rotated at constant speed such that it describes a horizontal circle of diameter 15. A lamp is placed so that the shadow of the bob projected on a screen describes simple harmonic motion. What is the displacement of the shadow after the bob has traveled a total distance of 30 cm?

20 / 25

20. Below are the graphs of the kinetic and potential energies against displacement s for an object exhibiting simple harmonic motion.

PH0113

Which of the positions marked on the axis represents the location of maximum speed?

21 / 25

21. An object on a horizontal spring performs simple harmonic motion. The position of the object as a function of time is given by x=5 cos⁡(2t).

Which of the following expressions gives the acceleration of this object as a function of time?

22 / 25

22. A train is traveling at  towards a stationary observer. It sounds a horn of frequency .

Which of the following statements is true about the observed frequency compared with the emitted frequency as the train approaches?

Observed frequency compared to emitted frequency Change in observed frequency over time
A. Lower No change
B. Higher Increases
C. Lower Decreases
D. Higher No change

23 / 25

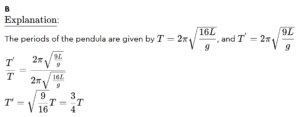
23. Two simple pendulums with lengths  and  have masses  and  respectively. The period of the mass of 4 is T. What is the period of mass of ?

PH0065

24 / 25

24. Wavefronts travel across a boundary between two media as shown.

PH0047

Which of the following correctly describes the change, if any, in the speed, wavelength and frequency of the waves as they pass from across the boundary?

 Speed  Wavelength  Frequency
 A. Increases Increases Unchanged
 B. Unchanged Increases Decreases
 C. Increases Unchanged Increases
 D. Decreases Decreases Unchanged

25 / 25

25. An object with a mass of m is connected to a spring on a frictionless horizontal surface.

PH0062

The object is displaced by  from its equilibrium point O to point A and executes simple harmonic motion with a period of . Which of the following are true if the object is displaced by ?

I. The angular frequency of the oscillation will be less.
II. Total energy of the object will be greater.
III. The average speed of the object will not change.

 

Your score is

0%