0%

HL - Scientific Skills & Tools

25 MCQ from 2025 Question Bank Scientific Skills & Tools (all topics)

DP IB HL Physics Quiz

1 / 25

1. A car is moving with a kinetic energy of .

Estimate the order of magnitude of its momemtum.

2 / 25

2. An experiment requires the measurement of the radius  and height  of a cylindrical battery to determine its volume. The uncertainty in  is  and the uncertainty in  is .

What is the fractional uncertainty in the volume of the battery?

3 / 25

3. An object starting from rest travels a distance d after a time . If , and the time is measured as . Which of the following gives the correct values of the fractional and absolute uncertainties of acceleration?

 Fractional  Absolute /m s^−2
 A. 0.25  2.5
 B. 0.30  3.0
 C. 0.45  4.5
 D. 1.4  14

4 / 25

4. A student is using the equation  to solve for  with the following percentage uncertainties in the measurements.

 Quantity  Uncertainty
P ± 2 %
V ± 6 %
T ± 1 %

What is the percentage uncertainty in the calculated value of n?

5 / 25

5. Two trucks X and Y are pulling a car out of thick mud along a straight path. The only other horizontal force acting on the car is a drag force opposite to the direction of motion. The diagram shows the direction of the force applied by truck  and the direction of motion of the car.

PH0490

Which of the following vectors shows the direction of the force applied by truck Y?

PH0490-1

6 / 25

6. An apple falls 5 m in height from a tree. It rebounds from the ground with a quarter of its striking speed. The apple is in contact with the ground for approximately 0.1 . What is an estimate of the magnitude of the average net force on the apple when it strikes the ground?

7 / 25

7. A point  is subjected to three simultaneous forces of magnitudes FA>FB>FC. Point  is in equilibrium. Which of the following statements is not always true about the magnitudes of the forces?

  • I.
    II.
    III.

8 / 25

8. Vectors  and  are in the shown directions.

PH0489-Q

Which of the following shows the sum of the two vectors?

A. B.
PH0489QA PH0489QB
C. D.
PH0489QC PH0489QD

9 / 25

9. An object is moving at constant velocity. Which of the following could be the free-body diagram representing the forces acting on the object?

A. B.
PH0551A PH0551B
C. D.
PH0551C PH0551D

10 / 25

10. An electronic balance has a button with “tare” written on it. The reading of the balance is reset to zero when the “tare” button is pressed. Which of the following gives a reason why use of the “tare” button improves the measurement?

11 / 25

11. A rectangular prism is obtained by combining two identical cubes as shown in the figure.

PH0031

The length of one side of a cube is .

What is the ratio

[absolute uncertainty of volume of the rectangular prism]/[absolute uncertainty of volume of one cube?

12 / 25

12. Vector  makes an angle  with the horizontal as shown. Its magnitude is  and the magnitude of its horizontal component  is .

PH0491

Which of the following is correct about the magnitude and direction of its vertical component?

13 / 25

13. A pilot intends to fly a plane from point A to point . Due to strong winds, she points the nose of the plane in the direction shown by the vector P. Which of the choices below best represents the direction of the wind encountered by the plane?

PH0259-1

A. B.
PH0259A PH0259B
C. D.
PH0259C PH0259D

14 / 25

14. A rectangle has length  and width W=(3 ± 0.2) cm.

What is the uncertainty of the perimeter of the rectangle?

15 / 25

15. Which of the following is an estimate of the order of magnitude of the radius of the Earth?

 

16 / 25

16. As a truck is brought to rest, the brakes apply a force of 5.1×10^3N. Which answer best describes the magnitude of the change in momentum of the truck if the brakes are applied for 3.0 ?

17 / 25

17. A stream flows east with a speed . A boat points due south and moves with a speed  relative to the water.

PH0492

The ratio vo/vs=1/2

Which of the following is correct about the magnitude in  and the angle  between the velocity of the boat and the side of the stream?

18 / 25

18. A student models the relationship between velocity v of a moving charge in a magnetic field, and the force  acting on it as F=kv, with k being a constant

What are the units for  expressed in fundamental SI units?

19 / 25

19. A ball is projected with an initial speed of  making an angle of  with the horizontal as shown.

PH0495

Which expression gives the vertical component of the velocity vector?

20 / 25

20. A car moves clockwise in a circular path as shown. The direction of its instantaneous velocity at two different times is shown in the diagram.

PH0496

Which of the following vectors shows the direction of the change in velocity?

A. B.
PH0496A PH0496B
C. D.
PH0496C PH0496D

21 / 25

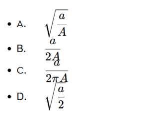
21. In finding the area of a circular metal plate, a student measures the radius  of the plate and calculates the area to be , where a is the absolute uncertainty on the area. Which of the following would give the fractional uncertainty on R?

22 / 25

22. Electrons are accelerated between two conducting plates that have a potential difference of . Estimate the total energy that would be delivered to 10^21 electrons by the conducting plates.

23 / 25

23. A spring with spring constant  is extended by a distance .

PH0497

The uncertainty of  is 2% and that of x is 3%.

What is the uncertainty of the potential energy stored in the spring?

24 / 25

24. Which of the following units is not a unit of power?

 

25 / 25

25. A spring of negligible mass and length of lo is attached to a fixed point. When the spring is extended by an external force , the length of the spring increases to . The graph shows how the length of the spring varies with the tension in spring. The tension in the spring is equal to , where k is a constant and  is the extension of the spring.

PH0036

What are the gradient and y-intercept of the graph?

 Gradient  y-intercept
 A. 1/k l
 B. 1/k lo
 C. k lo
 D. 1/k Δl

Your score is

0%