0%

HL - Classification of Matter

25 MCQ from 2025 Question Bank Classification of Matter (all topics)

DP IB HL Chemistry Quiz

1 / 25

1. Which of the following statements regarding the periodic table are correct?

I. Anions have larger ionic radii than the atomic radius of their parent atom
II. Elements in the periodic table are arranged according to their number of protons
III. Elements within the same period will have similar physical properties

2 / 25

2. Which of the statements below gives a correct feature of a ligand?

 

3 / 25

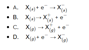
3. Which chemical equation represents the definition of first ionization energy?

4 / 25

4. All rain is naturally acidic due to dissolved __________.

5 / 25

5. Which of the following salts would form coloured solutions when dissolved in water?

I. CuCl2​
II. ScCl2
III. ZnCl2

6 / 25

6. Which functional groups are present in this molecule?

10.1CH0132

I. Amine
II. Ester
III. Ether

7 / 25

7. A group 2 metal oxide dissolved in water would produce a solution that is:

 

8 / 25

8. Which of the following statements regarding the melting points of elements are correct?

I. Group 17 melting points increase down the group due to increased covalent bond strength
II. Lithium has a higher melting point than potassium
III. Bromine has a higher melting point than chlorine

9 / 25

9. A carboxylic acid has the following structural formula.

CH0370

The 1H NMR spectrum of the carboxylic acid is measured. Which of the following correctly describes the pattern of signals in the  spectrum?

10 / 25

10. Which statement regarding the periodic table is true?

 

11 / 25

11. Which of the following compounds could form a racemic mixture with (+)-menthol?

A. B.
CH0521A CH0521B
C. D.
CH0521C CH0521D

12 / 25

12. The complete electron configuration of a neutral atom is shown below:

3.1-554

In which group and period of the periodic table would this element be found?

Group period
A. 14 2
B. 14 3
C. 16 2
D. 16 3

13 / 25

13. The electromagnetic spectrum is divided into different types of radiation as shown.

11.3-CH0368

In one spectroscopic technique, electromagnetic radiation is used to identify functional groups based on the vibrational frequencies of their chemical bonds. Which of the following wavelengths of electromagnetic radiation would be most useful for this technique?

14 / 25

14. Which of the following elements has the highest first ionization energy?

 

15 / 25

15. Which of the following is NOT a potential component of acid rain?

 

16 / 25

16. Which row gives the correct number of peaks and integration values for the structure below?

CH0802

  • Peaks Integration
    A. 4 6:1:2:3
    B. 4 3:3:2:3
    C. 5 3:3:1:2:3
    D. 5 6:1:2:1:3

17 / 25

17. Which of the below is a characteristic property of transition metals?

I. Catalytic behaviour
II. Coloured compounds
III. Variable oxidation states

18 / 25

18. Which one of the following statements about acids is/are true?

I. Acids will neutralize bases to form salts
II. Acids produce solutions with pH greater than 7
III. Acids ionize to form H^+ ions when dissolved in water
​​

19 / 25

19. The respective names of the monomer and polymer in the below polymerization reaction are:

10.2-147

20 / 25

20. Which compound contains two different elements with identical oxidation states?

 

21 / 25

21. Which of the following statements is not correct for the class of organic molecules?

 

22 / 25

22. What functional groups are both present in the following organic molecule?

10.1-CH0131

23 / 25

23. The structural formulae of three compounds are shown.

CH0525

A student measures the optical activities of the three compounds using a polarimeter. Which of the following results are they most likely to obtain?

 Activity of 1 / degrees  Activity of 2 / degrees  Activity of 3 / degrees
 A. 3.0 5.0 3.2
 B. 3.0 -5.0 0.0
 C. 5.0 5.0 3.2
 D. 5.0 -5.0 0.0

24 / 25

24. For elements in the same row X or column Y of the periodic table, some features of the outer electron shell remain constant.

3.1-552

Which of the following is correct?

Name of X Name of Y Number of electron shells Number of outer shell electrons
 A. Period Group Constant across X Constant down Y
 B. Period Group Constant down Y Constant across X
 C. Group Period Constant across X Constant down Y
 D. Group Period Constant down Y Constant across X

25 / 25

25. Which gives the correct value of  and the shape of the Cu^2+ complex, [CuCl4]^x−?

  • Shape
    A. 2 Tetrahedral
    B. 2 Square planar
    C. 4 Square planar
    D. 4 Tetrahedral

Your score is

0%